| Рубрикатор | ![]() |
![]() |
| Статьи | ![]() |
![]() |
| Виктор Михайлович Леончиков  | 31 января 2019 |
Экспресс-анализ облачных RAN
Громоздкие и негибкие Excel-построения не позволяют оперативно снимать неопределенности в процедурах принятия решения об экономической целесообразности проектов. Предлагается алгоритм, упрощающий эту задачу применительно к облачным сетям радиодоступа.
В условиях полной априорной неопределенности всякое решение является оптимальным.
Эпос кафедры № 21
Эпос кафедры № 21
Первые упоминания о системах с линейным переносом спектра радиосигнала в диапазон транспорта и последующей его доставкой к удаленным территориально распределенным антенным системам Wikipedia относит к 2010 году. В действительности подобные системы известны специалистам с конца прошлого века. Возраст приличный, и тем не менее ощутимых результатов применения технологии не наблюдается. Попробуем разобраться в причинах этого явления.Операторы сотовой радиосвязи в ряде случаев полагают, что данная технология в сравнении с типовыми методами создания радиопокрытия является убыточной. Возможно, что по некоторым критериям оптимальности, специфическим для этих операторов, такое утверждение справедливо. Но всегда ли? Помимо устоявшихся в мобильном бизнесе операторов, существуют новые, растущие операторы (стартапы) не говоря уже об операторах инфраструктурных. Как быть с операторами этих категорий?
Рискнем предположить, что в негативном отношении к технологии виновата неопределенность, или отсутствие достаточной информации для принятия решения, что и заставляет считать технологию убыточной. Попробуем раскрыть эту неопределенность, предложив максимально простую модель оценки целесообразности создания радиооблака C-RAN/ADAS. Напомним, под радиооблаком понимается система, создающая сплошную зону радиопокрытия в соответствующих частотных диапазонах с заданным и согласованным с операторами уровнем сигнала. Для вывода подобного предложения на рынок могут применяться технология ADAS (active distributed antenna system) или иные технологические решения с территориальным перераспределением радиосигналов базовых станций.
Воспользуемся основным критерием, принятым в анализе состоятельности коммерческих решений – временем возврата инвестиций. В качестве основного показателя примем период окупаемости инвестиций Тв, поскольку все остальные показатели (IRR и пр.) легко из него выводятся.
где
Ri – доход в единицу времени от всех n операторов, включенных в облако;Хi – операционные затраты на обслуживание всей системыв единицу времени; Сi – капитальные затраты на создание радиооблака с заданными емкостными характеристиками
Емкость облака удобно рассматривать как максимально допустимое количество приемопередатчиков (RRU; TRX; RRH…) разных диапазонов и стандартов (G1, G2,….GN), которое оборудование облака позволяет разместить на центральном узле и в заданных комбинациях подключить к антенным модулям. Такое определение позволяет легко перейти к реальной емкости (пропускной способности) RAN при изменении принципов тарификации радиооблака (полоса, трафик и пр.).

Рис. 1. Начальная конфигурация радиооблака
Общее число приемопередатчиков в данном случае равно 123 (стартовый зонтик), т.е. каждый оператор стартует (намерен стартовать), имея в каждом секторе в среднем z = 123/Sn = 2,05 TRX.

где параметр М характеризует правильность (оптимальность) заполнения и эксплуатации облака. Полученная формула позволяет производить оценочные маркетинговые расчеты. Для большей точности в параметр Х можно включить все обязательные платежи, приведенные к единице времени.
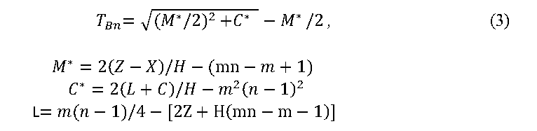
Увы, подобный одновременный старт всех операторов хоть и является желательным апофеозом усилий группы развертывания сети инфраструктурного оператора (роллаут-группа), но редко достижим на практике. Сохраним линейность модели и предположим, что n операторов подключаются в облако последовательно с временным интервалом m. Можно показать, что время возврата инвестиций в этом случае будет определяться выражением (3), где M^(* ) и C^* уже существенно отличаются от одноименных параметров выражения (2):

Таким образом получаем расчетные соотношения для равномерного последовательного старта n операторов с шагом m в системе радиооблака из S секторов и развитием покрытия/емкости с интенсивностью Н.

Рис. 2. Возврат инвестиций при линейном управлении продуктом
Очевидно, что успех облачного бизнеса – в грамотной и согласованной с сотовыми операторами работе роллаут-группы с целью обеспечения максимального объема стартового зонтика z/h > 2. В этом случае даже асинхронность начала работы сотовых операторов не является критическим фактором.
В заключение заметим, что необходимое с точки зрения математики раскрытие неопределенности, увы, не всегда желательно для некоторой категории менеджеров, например, если требуется максимально завуалировать цели предприятия. Следует также предостеречь разработчиков аппаратуры от чрезмерного усложнения топологии облака путем включения в него элементов, присущих сетям независимых сотовых операторов, и огромного числа управляющих (коммутирующих) устройств. Прелесть облачных структур – в сохранении за мобильными операторами свободы управления сетью внутри облака. Не следует привносить в этот процесс еще один уровень неопределенности – административный.
Виктор
Леончиков
Заметили неточность или опечатку в тексте? Выделите её мышкой и нажмите: Ctrl + Enter. Спасибо!














